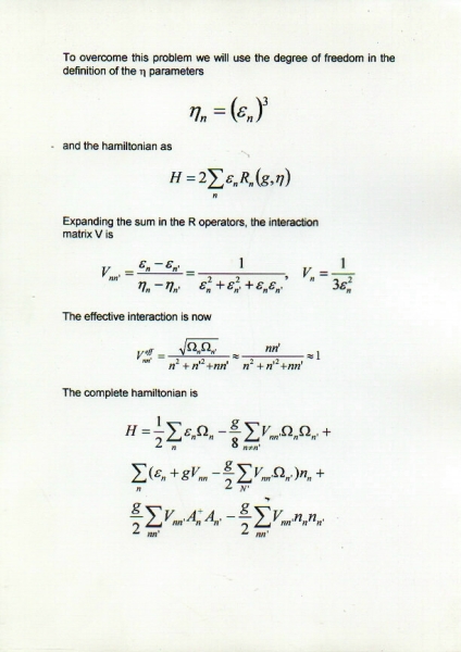
Prev Index Next

../Images/Dukelsky10.jpg

Page 10