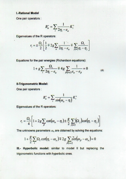
Prev Index Next

../Images/Dukelsky07.jpg

Page 7