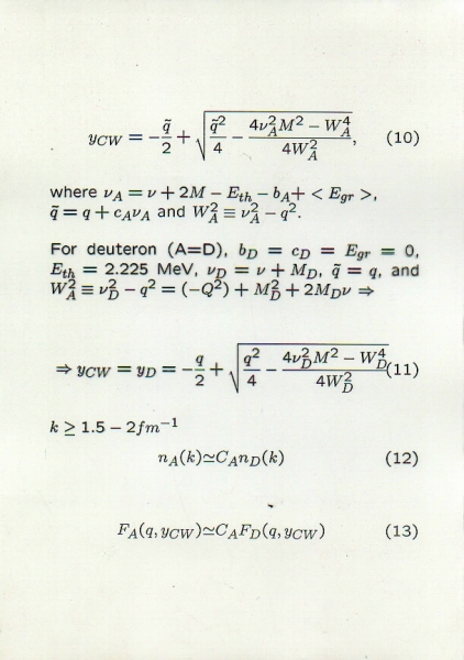
Prev Index Next

../Images/Gaidarov07.jpg

Page 7