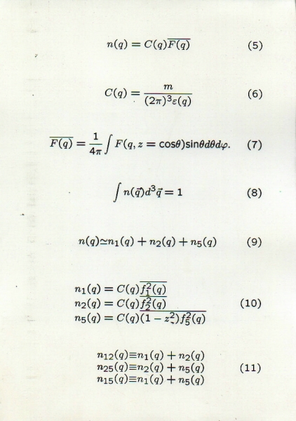
Prev Index Next

../Images/Gaidarov09.jpg

Page 9