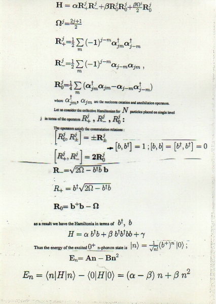
Prev Index Next

../Images/Garistov03.jpg

Page 3