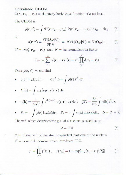
Prev Index Next

../Images/TMP5.jpg

Page 5