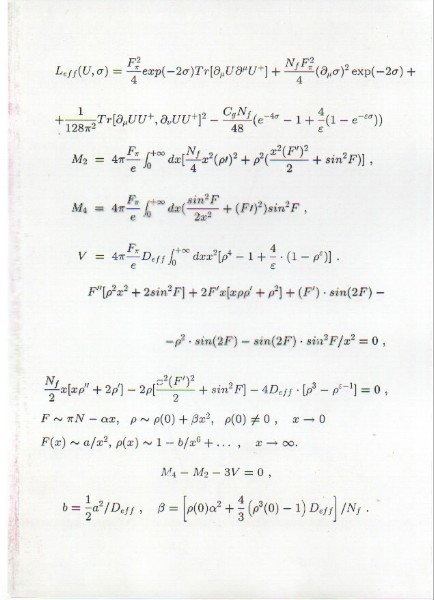
Prev Index Next

../Images/TMP21.jpg

Page 5