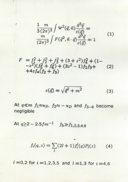
Prev Index Next

../Images/Gaidarov08.jpg

Page 8